Por: Staff | Fotos: Avandarocks

En el marco de la celebración de los 10 años del Avandarocks Hard Enduro de México, celebrado en el Estado de México, el podio de la categoría Oro fue dominado por pilotos de alto nivel. Bernardo Garaa, con el número 1, se alzó con el primer lugar tras un consistente desempeño durante los tres días, logrando un tiempo total de 11 horas, 18 minutos y 22 segundos. El segundo puesto fue para Stanislas Zavala García (número 14), quien completó la prueba en 12:04:09. Finalmente, Alejandro Bastida Ramírez (número 11) redondeó el podio al conseguir el tercer lugar con un tiempo total de 12:41:01.

En la categoría Fierro Gervith Reyes se alzó con la victoria, seguido de cerca por Matias Espinoza quien aseguró el segundo puesto, mientras que Daniel Ramos completó el podio de campeones al llevarse el tercer lugar.
En plata, Rok Grabar consiguió el primer lugar, demostrando un gran nivel a lo largo de la competencia. Manuel Pando lo siguió de cerca para hacerse con la segunda posición, mientras que Jerónimo Huerta llegó en el tercer puesto.

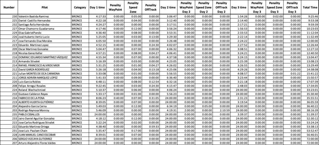
La categoría Bronce tuvo a Valentín Bastida en lo más alto al conquistar el primer lugar. Daniel Castillo demostró un gran desempeño para asegurar el segundo puesto, mientras que Santiago Ávila cerró el podio.
Resultados.
.




.

.
REVISTA DIGITAL #6

















